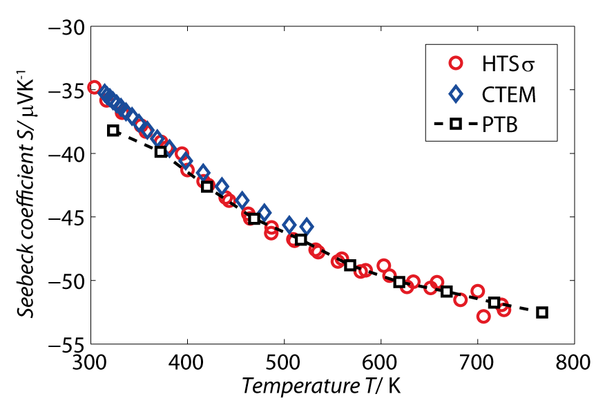
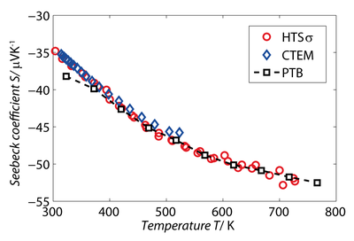
Measured curve of the temperature-dependent Seebeck coefficient of a Ni-Cu sample
Measured curve of the temperature-dependent Seebeck coefficient of a Ni-Cu sample
Seebeck coefficient of a Ni-Cu sample. The results of the simultaneous measurement system (red) agree very well with those of another measurement system at DLR (CTEM; blue) and a comparison measurement at PTB.
